English
全部
搜索
图片
视频
短视频
地图
资讯
更多
购物
航班
旅游
笔记本
报告不当内容
请选择下列任一选项。
无关
低俗内容
成人
儿童性侵犯
Constant Force Clock Spring 的热门建议
Winding a Mechanical
Clock
What Is a Clutch On a Antique
Clock
How Clocks
Work for Kids
Clockwork
How Clocks
Work
All About
Clocks
How Do
Clocks Work
How Do Pendulum Clock
Gears Work Diagram
Mechanical
Clock
How Do a
Clockwork
How the Geearworks
for Kids
Mechanical Clock Spring
Mechanism
Clock
속보
Force
of Spring
时长
全部
短(小于 5 分钟)
中(5-20 分钟)
长(大于 20 分钟)
日期
全部
过去 24 小时
过去一周
过去一个月
去年
清晰度
全部
低于 360p
360p 或更高
480p 或更高
720p 或更高
1080p 或更高
源
全部
Dailymotion
Vimeo
Metacafe
Hulu
VEVO
Myspace
MTV
CBS
Fox
CNN
MSN
价格
全部
免费
付费
清除筛选条件
安全搜索:
中等
严格
中等(默认)
关闭
筛选器
Winding a Mechanical
Clock
What Is a Clutch On a Antique
Clock
How Clocks
Work for Kids
Clockwork
How Clocks
Work
All About
Clocks
How Do
Clocks Work
How Do Pendulum Clock
Gears Work Diagram
Mechanical
Clock
How Do a
Clockwork
How the Geearworks
for Kids
Mechanical Clock Spring
Mechanism
Clock
속보
Force
of Spring
0:57
collegephysicsanswers.com
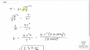
OpenStax College Physics Solution, Chapter 16, Problem 13 (Problems and Exercises)
A type of cuckoo clock keeps time by having a mass bouncing on a spring, usually something cute like a cherub in a chair. What force constant is needed to produce a period of 0.500 s for a 0.0150-kg mass?
已浏览 147 次
2018年6月21日
Constant Force Spring Design
Hooke's Law and Spring Force - StickMan Physics
stickmanphysics.com
2019年10月28日
Constant force springs for tensile and compressive forces
spring-guide.com
7 个月之前
2:13
Mechanical Springs - Spring Constant and Maximum Force - Example 1
YouTube
Less Boring Lectures
已浏览 5524 次
2020年10月20日
热门视频
[Hot Item] Manufactured Retractable Stainless Steel Clock Spring of Superior Quality Rewind Spiral Constant Force Spring
made-in-china.com
1 周前
[Hot Item] No Minimum OEM Custom Small 4mm Steel Metal Coil Constant Force Flat Torsion Spring Flat Spiral Spring for Clock
made-in-china.com
4 周前
Carbon Brush Springs: Constant Force to Optimize Wear Rate
helwigcarbon.com
2021年2月9日
Constant Force Spring Applications
2:00
9 kinds Power spring & Constant force spring Applications | Meta Spring Industry
YouTube
Power Spring Specialist
已浏览 2.5万 次
2022年6月20日
0:29
Conforce Constant Force Spring Extension | Vulcan Spring
YouTube
Vulcan Spring
已浏览 4.2万 次
2010年11月9日
0:58
Constant Force Spring – How to Add the Spring to Your Application Without Reversing It
YouTube
AMETEKSTC
已浏览 2.7万 次
2020年7月3日
[Hot Item] Manufactured Retractable Stainless Steel Clock Spring of Su
…
1 周前
made-in-china.com
[Hot Item] No Minimum OEM Custom Small 4mm Steel Metal Coil Const
…
4 周前
made-in-china.com
Carbon Brush Springs: Constant Force to Optimize Wear Rate
2021年2月9日
helwigcarbon.com
[Hot Item] 2.5mm Spring Coiling Machine Constant Force Spring M
…
1 个月前
made-in-china.com
Spring Constant - Definition & Examples | Spring Constant Unit
2016年2月26日
byjus.com
6:08
Spring force and potential energy in physics
1 个月前
MSN
Dot Physics
How to Find the Effective Spring Constant of a Set of Springs in Se
…
2022年2月17日
study.com
How to Find the Effective Spring Constant of a Set of Springs in Pa
…
2022年2月18日
study.com
6:48
Spring Constant | Formula, Law & Examples
已浏览 3.1万 次
2018年2月11日
Study.com
Forcing constant voltage and locking frequency question
2022年4月8日
guru3d.com
1:21
Physics:4.1.2.2 Comparing the spring constant of springs using
…
已浏览 2931 次
2011年10月7日
YouTube
braingenie
0:58
Constant Force Spring – How to Add the Spring to Your Application Wit
…
已浏览 2.7万 次
2020年7月3日
YouTube
AMETEKSTC
16:54
The Effective Force Constant of Two Springs
已浏览 7156 次
2022年4月4日
YouTube
Özhan Özatay
5:52
GCSE Physics - Elasticity, Spring Constant & Hooke's Law | Force E
…
已浏览 5.5万 次
5 个月之前
YouTube
Cognito
4:43
Spring constant / Force constant of Springs in Parallel 4 VTU
已浏览 4387 次
2022年1月10日
YouTube
Resonance
6:01
Constant Force Springs
已浏览 1.8万 次
2023年1月20日
YouTube
PappalardoLab
1:59
Mechanical Springs - Free Length Design - Example 2
已浏览 1.9万 次
2020年10月20日
YouTube
Less Boring Lectures
16:01
Hooke's law || Determination of springs constants and work done
…
已浏览 1311 次
2022年6月23日
YouTube
Computational Science
6:44
Mass-Spring System | Calculate Spring Constant, Displacement, P
…
已浏览 3402 次
2021年3月8日
YouTube
Study Force
2:39
How to find the force exerted on a spring
已浏览 3.3万 次
2014年2月16日
YouTube
Engineer4Free
10:30
12th Science Physics Practical - Spring Mass Oscillator- Force con
…
已浏览 8.5万 次
2022年11月30日
YouTube
Physical Science
9:35
Hooke's Law Introduction - Force of a Spring
已浏览 9.9万 次
2018年3月18日
YouTube
Flipping Physics
2:13
Mechanical Springs - Spring Constant and Maximum Force - Ex
…
已浏览 5524 次
2020年10月20日
YouTube
Less Boring Lectures
Constant Force Spring Supplier & Manufacturer- YongSheng
2020年8月15日
yshspring.com
7:12
HOW TO: Change Constant Force Springs
已浏览 12.2万 次
2015年6月10日
YouTube
Kohltech Windows & Entrance Systems
0:29
Conforce Constant Force Spring Extension | Vulcan Spring
已浏览 4.2万 次
2010年11月9日
YouTube
Vulcan Spring
6:20
Force Constant Of A Spring Experiment Edunovus Online Sma
…
已浏览 32.2万 次
2016年1月7日
YouTube
Edunovus Online
1:06
TK Constant force springs
已浏览 1.2万 次
2020年10月29日
YouTube
Takachiho America Inc.
13:44
Constant Force Spring Demo
已浏览 2.3万 次
2014年10月25日
YouTube
FireBears - FRC Team 2846
观看更多视频
更多类似内容
反馈