English
全部
搜索
图片
视频
短视频
地图
资讯
更多
购物
航班
旅游
笔记本
报告不当内容
请选择下列任一选项。
无关
低俗内容
成人
儿童性侵犯
时长
全部
短(小于 5 分钟)
中(5-20 分钟)
长(大于 20 分钟)
日期
全部
过去 24 小时
过去一周
过去一个月
去年
清晰度
全部
低于 360p
360p 或更高
480p 或更高
720p 或更高
1080p 或更高
源
全部
Dailymotion
Vimeo
Metacafe
Hulu
VEVO
Myspace
MTV
CBS
Fox
CNN
MSN
价格
全部
免费
付费
清除筛选条件
安全搜索:
中等
严格
中等(默认)
关闭
筛选器
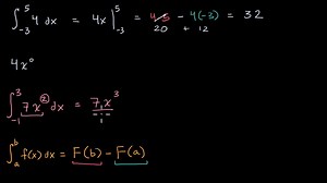
4:14
Khan Academy
Khan Academy
Examples of calculating definite integrals of polynomials using the fundamental theorem of calculus and the reverse power rule.
2017年8月3日
短视频
0:08
已浏览 1140 次
Symptoms can include: • Extreme BP swings • Tachycardia or bradycardia •
solvingdysautonomia
0:07
已浏览 9002 次
11K views · 367 reactions | Recurring integrals are integrals that...
Mathswithmuza
Integration by Parts
11:05
Definite Integral
YouTube
The Organic Chemistry Tutor
已浏览 162.7万 次
2018年3月8日
31:29
Trigonometric Integrals
YouTube
The Organic Chemistry Tutor
已浏览 248.2万 次
2021年3月26日
19:50
Trigonometric Substitution
YouTube
The Organic Chemistry Tutor
已浏览 216.2万 次
2021年3月26日
热门视频
5:46
Rules of Integrals with Examples
analyzemath.com
2019年5月27日
Mastering the Integration Power Rule in 4 Minutes
YouTube
JoeCMath
已浏览 2119 次
2021年1月6日
Basic Integration Using Power Formula (Live Stream)
YouTube
enginerdmath
已浏览 3.5万 次
2022年1月29日
Integration Formulas
34:03
Basic Integration Formulas - Integral Calculus
YouTube
GTR Math Tutorial
已浏览 17.3万 次
2022年12月14日
22:12
Integral Calculus: Basic Integration Rules, Problems, Formulas | @ProfD
YouTube
Prof D
已浏览 4.3万 次
2021年2月2日
13:19
Basic Integration Rules - Exponential, logarithmic, trigonometric functions, Problems, Formulas
YouTube
Prof D
已浏览 1.5万 次
2021年4月21日
5:46
Rules of Integrals with Examples
2019年5月27日
analyzemath.com
Mastering the Integration Power Rule in 4 Minutes
已浏览 2119 次
2021年1月6日
YouTube
JoeCMath
Basic Integration Using Power Formula (Live Stream)
已浏览 3.5万 次
2022年1月29日
YouTube
enginerdmath
Integration Using the Power Rule (Polynomials)
已浏览 1115 次
2015年5月19日
YouTube
Steve Crow
Basic Integration Formulas Lecture Part 1
已浏览 24.8万 次
2019年4月5日
YouTube
Yu Jei Abat
33:50
Antiderivatives
已浏览 149.1万 次
2021年4月21日
YouTube
The Organic Chemistry Tutor
25:02
Double Integrals
已浏览 147.8万 次
2019年10月22日
YouTube
The Organic Chemistry Tutor
11:05
Definite Integral
已浏览 162.7万 次
2018年3月8日
YouTube
The Organic Chemistry Tutor
31:29
Trigonometric Integrals
已浏览 248.2万 次
2021年3月26日
YouTube
The Organic Chemistry Tutor
10:47
Indefinite Integral
已浏览 92.5万 次
2018年3月8日
YouTube
The Organic Chemistry Tutor
7:15
Calculus - Definite Integrals
已浏览 89.7万 次
2019年12月21日
YouTube
The Organic Chemistry Tutor
12:24
Evaluating Improper Integrals
已浏览 26.2万 次
2018年5月22日
YouTube
Professor Dave Explains
32:52
Integration By Parts
已浏览 406万 次
2021年3月25日
YouTube
The Organic Chemistry Tutor
14:13
Basic Integration Problems
已浏览 116.1万 次
2018年3月7日
YouTube
The Organic Chemistry Tutor
15:37
Basic Integration... How? (NancyPi)
已浏览 139.9万 次
2018年8月22日
YouTube
NancyPi
52:51
Calculus 1 - Derivatives
已浏览 448.4万 次
2018年7月9日
YouTube
The Organic Chemistry Tutor
40:04
Calculus 1 - Integration & Antiderivatives
已浏览 270.2万 次
2018年7月10日
YouTube
The Organic Chemistry Tutor
29:42
Calculus - Integration By Parts
已浏览 11万 次
2019年12月24日
YouTube
The Organic Chemistry Tutor
41:07
Integration By Partial Fractions
已浏览 361万 次
2021年3月24日
YouTube
The Organic Chemistry Tutor
10:06
Triple Integrals - Calculus 3
已浏览 48.4万 次
2019年11月9日
YouTube
The Organic Chemistry Tutor
25:48
How to Integrate Using U-Substitution (NancyPi)
已浏览 223万 次
2018年8月25日
YouTube
NancyPi
4:44
Integration using partial fractions
已浏览 10.1万 次
2017年12月6日
YouTube
Whiteboard Maths
21:35
How To Integrate Using U-Substitution
已浏览 394.7万 次
2021年4月19日
YouTube
The Organic Chemistry Tutor
12:26
Reduction Formulas For Integration
已浏览 45.1万 次
2018年3月23日
YouTube
The Organic Chemistry Tutor
1:26
Integral of lnx
已浏览 58.8万 次
2018年3月15日
YouTube
The Organic Chemistry Tutor
11:03
U-substitution With Definite Integrals
已浏览 108.3万 次
2018年3月11日
YouTube
The Organic Chemistry Tutor
10:40
Integration Using The Substitution Rule
已浏览 71.2万 次
2018年5月7日
YouTube
Professor Dave Explains
20:41
Finding Power Series By Differentiation
已浏览 22.2万 次
2018年4月2日
YouTube
The Organic Chemistry Tutor
10:07
Power Reducing Formulas - Trigonometric Identities
已浏览 18.2万 次
2016年11月8日
YouTube
The Organic Chemistry Tutor
观看更多视频
更多类似内容
反馈